激光雷达正在经历一场从“单像素扫描”到“阵列化成像”的范式转变。当Pi Imaging 的SPAD512²/1024²这样的百万像素级单光子相机开始进入科研和工业视野时,一个新的问题也随之浮现:多像素同时探测带来的系统性误差,该怎么补偿?
从“弯曲的桌面”到“亚厘米精度”:一篇带你读懂SPAD阵列激光雷达的误差与补偿
2025年4月,中国计量大学的研究团队系统地分析时间门控SPAD阵列激光雷达的两大核心误差源,并提出了可量化的补偿方法。实验结果令人印象深刻:补偿后误差降低超过60%,深度分辨率优于1厘米。
下面,我们就来拆解其中的技术细节。
一、时间门控SPAD激光雷达的工作原理
在深入误差分析之前,先快速理解这个系统是怎么工作的。
与传统tcspc(时间相关单光子计数)技术不同,时间门控SPAD阵列不逐点累积光子直方图,而是通过时间门来“切片”。每个时间门是一个固定宽度的时间窗口,比如5纳秒。相机在连续的门控周期中依次打开这些窗口,每个窗口捕获对应深度范围内的回波光子,生成一幅二维图像。
所有窗口的图像序列组合起来,就构成了一个完整的三维数据立方体。zui终,通过质心法对每个像素的强度随时间变化曲线进行计算,就能反推出光子的飞行时间,从而得到距离信息。
这个方案的优势很明显:不需要扫描、成像速度快、适合大视野。但代价是——精度挑战更复杂了。
二、两大核心误差源:光程差与门控展宽
论文将误差源归纳为两类,一类来自几何光学,一类来自电子学与探测器特性。
2.1 误差一:光程差引发的“弯曲效应”
在单像素激光雷达中,发射器和接收器可以视为重合,回波信号对应的是以接收器为中心的球面。但在SPAD阵列系统中,发射器和接收器是分置的(双基地配置),且接收器本身是一个面阵。
这意味着:同一时刻到达不同像素的光子,对应的回波路径总长度是恒定的,但它们在空间中的等时面是椭球面,而不是平面。
论文中给出了一个关键图示(图1):当目标是一个理想平面时,实际探测到的等时面是椭球面,这导致重建出的深度图呈现出中心凸起、边缘凹陷的“弯曲”形态。

图1:(a)两个系统相同光路包络面的示意图。(b)的目标表面重建变形示意图单基地案件。
为了量化这个效应,研究团队在距离1米、视野58.7°×43.6°的条件下,用白板作为目标进行了测量。结果如下:
XZ平面(水平方向):补偿前边缘像素深度误差超过31.19毫米。
YZ平面(垂直方向):补偿前边缘像素深度误差超过22.68毫米。
这个误差不是随机噪声,而是系统性的几何偏差。如果不对它进行建模和补偿,整个三维重建都会失真。
2.2 误差二:门控下降沿展宽
时间门控的核心是精确控制SPAD的“开”与“关”。理想情况下,门函数是一个方波:开即开、关即关。但在实际电路中,门信号的下降沿会出现展宽——换句话说,门不是“啪”一下关上的,而是有一个缓慢下降的过渡过程。
论文分析了导致下降沿展宽的三个主要原因:
1. 电路响应延迟:门控电路中的开关元件(如晶体管)存在开关延迟,高频下更为明显。
2. SPAD死区时间效应:SPAD探测到一个光子后会进入死区时间,在此期间无法响应新的光子。如果光子恰好落在门关闭的临界时刻,死区效应会导致时间偏移。
3. 杂散光与信号混叠:在门关闭的过渡阶段,杂散光或反射光可能被误探测,进一步拖尾信号。
这个展宽的直接后果是:系统计算出的飞行时间比实际值偏大,深度值偏大。论文通过仿真(图2)清晰地展示了这一点——有下降沿展宽的卷积结果,其质心位置明显向右偏移。

图2:有和没有门下降沿延迟的卷积仿真结果
为了定量测量这个展宽量,研究团队设计了一个巧妙的实验:将白板放在10厘米的近距离处,使得回波信号足够强且均匀。然后,他们累积了半幅阵列(约13万个像素)的信号值,获得了实际的回波波形(图3)。

图3:实际回波信号曲线和拟合结果曲线
通过拟合,得到了以下关键参数:
回波脉宽:约311.6皮秒(根据高斯分布标准差σ推算)
实际门宽:约4.7纳秒
下降沿展宽时间:963.9皮秒——相当于门宽的五分之一
这是一个相当可观的偏差。如果不对它进行补偿,系统性的深度偏大误差会累积到厘米级。
三、补偿方法:从数学建模到实验验证
针对上述两个误差源,论文分别提出了补偿方法。
3.1 光程差补偿:双基地椭圆模型 + 分段近似
传统补偿方法假设系统是单基地(发射器与接收器重合),用球面模型校正。但论文指出,对于双基地系统,这个假设本身就是错误的——尤其在发射器和接收器距离不可忽略的情况下。
发射器和接收器中心距离为10厘米,工作距离为1米。如果用球面模型去补偿,反而会在某些区域引入额外误差(图3中红色曲线所示)。

图3:Px和Cx的关系。
正确的做法是:使用双基地椭圆模型,即以发射器和接收器为焦点的椭圆面作为等时面。
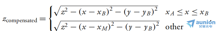
但直接使用椭圆模型计算复杂。研究团队提出了一种分段近似方法:
当目标点在发射器和接收器之间的投影范围内时,使用以接收器为中心的球面模型。
当目标点超出这个范围时,使用以发射器和接收器中点为中心的球面模型。
补偿公式如下

这个分段模型在实际测试中表现优异。白板补偿结果(图4)显示:

左边图片为:x z平面(在y = 255)白板深度误差图(蓝色,补偿前;红色,单站模式;黄色,双基地模式;这同样适用于以下情况;右边图片为:双基地模型补偿后的y z平面(x = 255)白板深度误差图。
| 平面 | 补偿前zui大误差 | 单基地模型补偿后 | 双基地模型补偿后 |
| XZ平面 | 31.19 mm | 11.34 mm | 5.67 mm |
| YZ平面 | 22.68 mm | 5.67 mm | 5.67 mm |
在水平方向,双基地模型的补偿效果比单基地模型提升了整整一倍。
3.2 下降沿展宽补偿:波形反演 + 质心修正
对于下降沿展宽,论文采用了波形反演的思路。
首先,假设回波脉冲信号(激光)是理想高斯分布,且脉宽远小于门宽。那么,传感器实际记录到的信号N’(t) 是激光脉冲与门函数 G′(t)的卷积分

其中 G′(t )是实际门函数,包含下降沿展宽。由于 N′(t) 可以通过实验测量得到,而 P(t) 可以通过激光参数推算,就可以反解出 G′(t) 的形态。
反解的关键在于一个假设:上升沿的宽度约等于激光脉宽(因为门开启是理想的)。基于这个假设,可以分离出门函数,进而得到下降沿展宽时间 Δt。得到 Δt 后,补偿就变得直接:用质心法计算实际波形的时间中心 t′,与理论值 t 比较,得到时间偏差 Δδ,然后在深度上减去对应的距离:

实验结果显示(表1),三组重复实验测得的下降沿展宽时间稳定在963.9皮秒左右,修正后的质心位置比原始测量值平均提前了约15个门控步进(每个步进18.9皮秒)。这意味着,如果没有这个补偿,系统会系统性高估深度约2.84毫米。

四、综合验证:从白板到真实场景
论文的zui后部分对补偿方法进行了综合验证,使用了两个真实场景。
4.1 场景一:横向物体(桌面上的球体与多面体)
补偿前,深度图中桌面呈现明显的弯曲(图4c)。经过光程差补偿 + 下降沿展宽补偿后,桌面变得平整,球体和多面体的轮廓清晰(图4d)。

图4:(a)校准白板深度图。(b)实物形象表。(c)补偿前的物体表重建深度图。(d)补偿后的物体表重建深度图。
在红色虚线位置(图5g、5h)进行误差分析,结果显示:

补偿后误差降低超过60%
与白板实验的补偿效果高度吻合,验证了方法的稳定性
4.2 场景二:纵向物体(1厘米方块堆叠的金字塔)
这个场景对精度要求更高。金字塔每一层由1厘米×1厘米的方块堆叠而成,高度差仅为1厘米。
补偿后的重建结果(原文图5f)显示,金字塔的每一层台阶都清晰可辨。深度剖面图(原文图5h)中,每一层的平台清晰可见,证明了系统zui终实现了优于1厘米的深度分辨率。

图5:(a)目标的物理图像。(b)补偿前的目标重建深度图。(c)补偿后的目标重建深度图。(d)补偿前的目标重建3D点云。(e)补偿后的目标重建3D点云。(f)立方体金字塔的放大三维点云。(g)沿红色虚线绘制的目标深度曲线图。(h)立方体棱锥的深度曲线图
五、论文的启示与SPAD512²的角色
这篇论文的价值在于:它不仅仅是一个“校准”方法,而是一套基于物理建模的系统性误差补偿框架。
两个误差源——光程差和下降沿展宽——虽然看似独立,但在实际系统中是叠加存在的。论文分别建模、分别补偿,zui终实现了1厘米级的深度分辨率。值得注意的是,这个精度是在5纳秒门宽、18.9皮秒门控步进的条件下实现的,对应的理论极限深度分辨率约为3毫米(论文原文第9页)。这意味着,补偿后系统的实际精度已经接近理论极限。
在整个实验中,Pi Imaging SPAD512²扮演了两个关键角色:
1. 高精度数据获取:512×512的阵列分辨率、可调的皮秒级门控步进,使得光程差的空间分布模式能够被精确捕捉。
2. 信号波形的可观测性:下降沿展宽这种微小的时间效应,只有在SPAD这样的单光子级别探测器中才能被量化——传统ccd或scmos无法分辨皮秒级的时间差异。
这款相机突出的特点是时间门控能力:zui小门宽仅为6纳秒,门控偏移步进可精细到17皮秒,能够以极高的时间分辨率捕捉快速变化的光信号,非常适合激光雷达、三维成像、宽场荧光寿命成像(FLIM)等应用。
在探测性能方面,SPAD512²的峰值光子探测效率达到50%(@520nm波长),暗计数率典型值低于25 cps,噪声极低。像素间距为16.38微米,填充因子在准直光条件下zui高可达100%。其光谱响应范围为400至900纳米,覆盖可见光到近红外波段。
相机的zui高帧率在1bit模式下可达每秒100,000帧(可连续记录1秒缓冲),4bit下半连续模式为5,000 fps,8bit连续模式为400 fps。现内部生成的门信号的曝光上升时间和下降时间(20%80%)均有提升—典型值分别为120皮秒和350皮秒。
相机采用C-mount光学接口,工作时只需一个5V电源适配器和两条USB 3.0数据线,即插即用。配套软件支持1-bit、4-bit以及6至12位时间门控成像模式,并提供相量FLIM处理功能,可通过TCP/IP协议集成到LabVIEW、MATLAB或Python环境中。
现更有SPAD512²的继任者——SPAD Alpha 于2025年发布,将像素规模提升至1024×1024,即超过一百万像素,成为新一代高性能单光子相机。
该相机同样采用时间门控全局快门设计,zui小门宽6纳秒,门控偏移步进17皮秒。其zui高帧率在1bit缓冲模式下可达每秒57,000帧,4bit下半连续模式为3,600 fps,6bit连续模式为920 fps,8bit连续模式为230 fps。像素尺寸为16微米,略小于前代。
在噪声性能上,SPAD Alpha的暗计数率典型值为50 cps,zui高不超过100 cps,暗计数大于1 kcps的像素比例典型值为1.5%。准直光条件下的填充因子典型值为50%,峰值光子探测效率同样为50%(@520nm),光谱响应范围400-900纳米。曝光上升时间和下降时间(20%80%)典型值分别为170皮秒和370皮秒。
相机提供TFLmount或Fmount光学接口选项(用户可选),系统集成方式与前代相同:5V电源加两条USB 3.0线缆。软件功能全面升级,支持1bit、4bit、6至12位时间门控成像,以及相量FLIM实时处理,同样支持TCP/IP远程控制,便于集成到主流实验平台。
结语
从“弯曲的桌面”到“清晰的金字塔”,这篇论文用扎实的实验数据证明了:当SPAD阵列激光雷达系统的误差源被逐一建模并补偿后,其3D重建精度可以接近理论极限。
参考文献:
1. Shi Y, et al. Timegated LiDAR 3D reconstruction error compensation method based on SPAD array camera. Applied Optics, 2025. (DOI: 10.1364/AO.553230)
对于正在使用或考虑使用SPAD阵列激光雷达的研究者和工程师来说,这篇文章提供了一个可复现的误差补偿框架。而对Pi Imaging SPAD512²而言,它再次证明了百万像素级单光子相机在精密测量领域的独特价值——不仅能“看见”,更能“量准”。
欢迎直接联系昊量光电
关于昊量光电:
上海昊量光电设备有限公司凭借强大的本地化销售网络与专业技术支持团队,长期服务于国内数以万计工业及科研客户,涵盖半导体、生物医疗、量子科技、精密制造、生物显微、物联传感、材料加工、光通讯等前沿领域。
昊量光电拥有的专家级的软硬件开发团队及丰富的行业应用经验,可提供:
✅ 全天候售后技术支持——快速响应,确保设备稳定运行;
✅ 定制化解决方案——从售前咨询到安装,培训,系统集成等,满足多样化需求;
✅ 客户高度认可——服务案例覆盖众多头部企业及高端科研机构,客户满意度持续居前列。
您可以通过我们昊量光电的官方网站www.auniontech.com了解更多的产品信息,或直接来电咨询4006-888-532。
展示全部 