在现代光学测量中,穆勒矩阵是一种重要的工具,用于表征和分析样品的偏振特性。穆勒矩阵通过描述样品对不同偏振态光的响应,帮助研究人员深入理解材料的光学性质。为了精确测量穆勒矩阵,实验中往往需要使用锁相放大器来从微弱的信号中提取出有用信息,尤其是在涉及偏振的复杂测量时。 本文将深入探讨多通道锁相放大器在穆勒矩阵测量中的应用,介绍其如何与偏振态、锁相放大器以及穆勒矩阵的构建过程相结合,提升测量精度,并详细说明实验中如何通过解调不同频率的信号获得穆勒矩阵的元素。
多通道锁相放大器在穆勒矩阵测量中的应用
1 锁相放大器的基本原理
锁相放大器(Lock-In Amplifier)是一种能够从噪声中提取微弱信号的高精度仪器,广泛应用于信号测量和光学实验中。其工作原理基于与参考信号同步解调。具体来说,锁相放大器能够在已知频率的参考信号的帮助下,从复杂的输入信号中提取出与参考信号频率匹配的信号成分,去除背景噪声。
2. 偏振态与穆勒矩阵
偏振态 是描述光波振动方向的物理量,它表征了光波的不同特性,如光波的振动方向、振幅和相位。光的偏振态可以通过斯托克斯参数来描述,这些参数定义了光波的偏振度和偏振方向。常见的偏振态包括:线性偏振光和圆偏振光。
穆勒矩阵 是一个 4×4 的矩阵,用于描述光学样品对不同偏振态的响应,包括二向色性、延迟和去偏振。每个矩阵元素对应一个特定偏振态下的光学响应。在穆勒矩阵测量中,样品的光学响应是偏振态依赖的,换句话说,光的偏振态会影响光与材料的相互作用,进而改变反射和透射光的强度。测量过程中,锁相放大器的作用尤为关键,它帮助我们提取不同偏振态下的信号,特别是在光学信号很微弱的情况下。通过与调制信号(如由PEM产生的频率信号)同步,锁相放大器可以有效地解调出反射或透射光的强度,进而获取样品在不同偏振状态下的光学响应。
3. 使用多通道锁相放大器测量穆勒矩阵
为了更准确地测量样品的穆勒矩阵,我们需要同时从多个偏振状态下进行测量。为此,多通道锁相放大器应运而生,它可以同时解调多个频率信号,从而同时获取不同偏振状态下的反射/透射信号。
在实际操作中,多通道锁相放大器具有多个解调通道,每个通道用于解调一个特定的频率成分。通过这种多通道的配置,实验可以同时分析多个偏振状态下的信号,这对提高实验效率和精度至关重要。
4. SynkTek多通道锁相放大器穆勒矩阵测量系统
传统的穆勒矩阵测量方法依赖于旋转光学元件或顺序切换偏振态,这些方法对漂移敏感且限制了时间分辨率。利用偏置调制器(PEM)与多通道锁相放大器相结合,能够将所有穆勒矩阵元素同时编码到探测光强的不同傅里叶分量中。利用SynkTek锁相放大器同时参考多个频率并解调多个谐波,可以在单次静态采集中测量出光学样品的完整4×4穆勒矩阵。
4.1 光学系统配置
一个典型的 4-PEM 穆勒偏振计由以下部分组成:
· 偏振态发生器 (PSG)
线性偏振片 P₁
PEM0 驱动频率 f0
PEM1 驱动频率 f1
· 待测样品
· 偏振状态分析仪(PSA)
PEM2 驱动频率 f2
PEM3 驱动频率 f3
线性偏振片 P2
PD光电探测器
每个PEM在固定的延迟幅度和快轴方位角下工作。

4.2锁相放大器配置
SynkTek MCL1-540锁相放大器系统提供:
· 用于驱动PEM控制器的四个频率信号,如:
f0=42 kHz,f1=47 kHz,f2=50 kHz,f3=60 kHz
· 一个检测器信号模拟输入,模块A V1
· 八个解调通道,每个通道能够:
选择任意参考频率
同时解调同相分量(X)和正交分量(Y)
相位相干平均
探测器信号连接到一个模拟输入端;所有偏振信息都在仪器内部进行解调。
由模块A的输出驱动PEM0,由模块B的输出驱动PEM1,由模块C的输出驱动 PEM2,由模块D的输出驱动PEM3。每个PEM调制器都会在特定的频率下调节光的偏振状态,每个频率对应一个特定的偏振态。
将频率1配置为100 Hz,其他所有频率将从这个频率派生出的谐波来实现相位一致性:

将模块A的输出配置为功能1,基于420次谐波的频率1。由于频率1为100Hz,输出将以(420 x 0.100 = 42)kHz的频率驱动。为驱动PEM0选择合适的幅度,在此示例中为1 V>

按照类似的方式设置其他输出B,C,D,即输出 B 作为功能 2,但基于频率 1,并使用 470 次谐波:

配置输入A V1的增益设置,使用直流耦合。
将锁相放大器组L1设置为基于第1次谐波的频率1

启用多谐波模式,并将解调器的谐波设置为100Hz的谐波与第4节中的表格频率匹配。请注意,由于直流值(表格中的通道1)始终独立于所选谐波进行计算,因此仅使用7个通道,并配置频率。

4.3 测量原理
4.3.1光强作为穆勒矩阵的线性函数
检测到的光强可以表示为:

其中M是样品的4×4穆勒矩阵,G(t)是由PSG产生的时变斯托克斯矢量,AT(t) 是 PSA 的时间依赖分析器行向量。
展开这个表达式得到:

已知的基函数:

因此,测量信号是16个已知时间依赖基函数的线性叠加,由穆勒矩阵元素加权。
4.3.2 通过PEM调制进行频率编码
每个PEM引入一个延迟:

所得的三角函数项展开为包含fi谐波的傅里叶级数。PSG和PSA项的乘积生成形式为:

通过选择四个不同的PEM频率,许多这些组合在频谱上是隔离的,并且可以独立测量。
4.4 解调方案
4.4.1 八个解调频率
每个解调通道产生两个实数值:同相分量Xk和正交分量Yk,这样一共可以得到16个值,正好是穆勒矩阵元素的数量(4×4)。
解调频率示例:
| 通道 | 类型 | 频率表达式 | 示例值 | 原理 |
| 1 | 直流 | 0 | 0 Hz | 捕获平均光强;用于归一化m00。 |
| 2 | 差频 | f1 – f0 | (47 - 42 = 5) kHz | 对耦合光强与线性偏振敏感的穆勒元素(例如m01, m02, m10, m20),几乎独立于对侧的PEM。 |
| 3 | 差频 | f3 - f2 | (60 – 50 = 10) kHz | 对耦合光强与线性偏振敏感的穆勒元素(例如m01, m02, m10, m20),几乎独立于对侧的PEM。 |
| 4 | 和频 | f0 + f1 | (42 + 47 = 89) kHz | 一阶和频项;通常强度高且与载波分离良好。 |
| 5 | 和频 | f2 + f3 | (50 + 60 = 110) kHz | 与通道4互补,使用不同的PEM对。 |
| 6 | 二次谐波 | 2f0 | (2 x 42 = 84) kHz | 偶次谐波在PEM的余弦项中强度高。 |
| 7 | 二次谐波 | 2f1 | (2 x 47 = 94) kHz | 增加一个具有类似响应的额外偶次谐波通道。 |
| 8 | 二次谐波 | 2f2 | (2 x 50 = 100) kHz | 补全该组;如果信号更纯净,可以用2f3 = 120 kHz替代。 |
每个通道使用从PEM时钟内部生成的参考信号进行同步解调。
4.5 解调信号与穆勒元素之间的显式关系
4.5.1线性测量模型
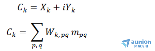
定义频率fk的复数解调系数为:

其中mpq 是穆勒矩阵元素,mk,pq是已知复权重,由以下确定:
PEM延迟振幅,PEM相位,光学几何结构,所选解调频率fk
4.5.2 实矩阵公式
将解调输出堆叠为实向量:

求穆勒矩阵的向量形式:

定义仪器矩阵

测量方程为:c=Am
4.6 重建穆勒矩阵
4.6.1 校准
仪器矩阵A通过测量一组已知校准样品(例如空气、线性偏振器、波片)来确定。校准需要考虑:
延迟误差,相位偏移,角度失准,探测器增益。
4.6.2 逆变化
对于未知样品:
其中A+表示Moore–Penrose伪逆。
结果是完整的4×4 穆勒矩阵,通常进行归一化处理,使得m00=1
5. 多通道锁相放大器的优势
单次测量所有 16 个穆勒元素
无运动部件 → 长期稳定性优异
相干检测 → 高信噪比
灵活频率选择 → 优化调节
实时输出穆勒矩阵
6. 结论
SynkTek多通道锁相测量穆勒矩阵的方案,具有四个参考输出和八个派生解调通道,能够在多个不同的偏振状态下同时进行精确测量,获取透射光的强度信息。通过将偏振信息编码到不同的频率分量中,并通过线性反演重建穆勒矩阵,该系统能够实现快速、准确且无漂移的偏振测量。未来的技术进展可能会进一步提高多通道锁相放大器的分辨率和速度,使得穆勒矩阵的测量更加精确,并能应用于更复杂的光学材料和光学系统
上海昊量光电作为国内专业的光电设备代理商,是TiePie系列产品的官方代理商,对于任何产品有兴趣或者有任何问题,都欢迎通过电话、电子邮件或者微信与我们联系。
如果您对多通道锁相放大器感兴趣,请访问上海昊量光电的官方网页:
https://www.auniontech.com/details-1276.html
欢迎继续关注上海昊量光电的各大媒体平台,我们将不定期推出各种产品介绍与技术新闻
参考文献
[1] O. Arteaga, J. Freudenthal, B. Wang, and B. Kahr, “Mueller matrix polarimetry with four photoelastic modulators: theory and calibration”, Appl. Opt. 51, 6805-6817 (2012).
[2] J. Lee, J. Koh, and R. Collins, “Multichannel Mueller matrix ellipsometer for real-time spectroscopy of anisotropic surfaces and films”, Opt. Lett. 25, 1573-1575 (2000).
[3] Qixing Zhang, Lifeng Qiao, Jinjun Wang, Jun Fang, and Yongming Zhang, “A polarization-modulated multichannel Mueller-matrix scatterometer for smoke particle characterization”, Proc. SPIE 7511, 75110M (20 November 2009)
[4] Honggang Gu et al, “Optimal broadband Mueller matrix ellipsometer using multi-waveplates with flexibly oriented axes”, J. Opt. 18 025702 (2016).
欢迎直接联系昊量光电
关于昊量光电:
上海昊量光电设备有限公司凭借强大的本地化销售网络与专业技术支持团队,长期服务于国内数以万计工业及科研客户,涵盖半导体、生物医疗、量子科技、精密制造、生物显微、物联传感、材料加工、光通讯等前沿领域。
昊量光电拥有的专家级的软硬件开发团队及丰富的行业应用经验,可提供:
✅ 全天候售后技术支持——快速响应,确保设备稳定运行;
✅ 定制化解决方案——从售前咨询到安装,培训,系统集成等,满足多样化需求;
✅ 客户高度认可——服务案例覆盖众多头部企业及高端科研机构,客户满意度持续居前列。
您可以通过我们昊量光电的官方网站www.auniontech.com了解更多的产品信息,或直接来电咨询4006-888-532。
展示全部 