本文将采用一种新型宽带多频非接触涡流法来精确测量复杂外延生长的氮化镓掺杂样品片电阻,并与传统四点法进行了比较。此方法对多层掺杂的氮化镓样品进行了完美评估,这将为该领域的进一步开发应用奠定基础。
展示全部 
宽带涡流测量氮化镓半导体的片电阻
摘要
对于片电阻的测量来说,尽管经典的四点探针法通常能提供足够的结果,但在许多情况下,它并不适用于薄片电阻的测量,特别是在埋入导电层或表面接触点氧化/退化的情况下。针对氮化镓样品中有位错缺陷的表面浓度的情况下,此类测量方法难度极高。本文将展示一种氮化镓样品,使用此方法将直接无法测量。然而本文将采用一种新型宽带多频非接触涡流法来精确测量复杂外延生长的氮化镓掺杂样品片电阻,并与传统四点法进行了比较。此方法对多层掺杂的氮化镓样品进行了完美评估,这将为该领域的进一步开发应用奠定基础。采用CST-Studio Suite仿真软件2020及实验测量数据,通过三维有限元模型对本非接触法所用探头的点扩散函数进行了评估。
1. 引言
半导体材料的电导率知识已成为光伏或电力电子应用领域器件开发的关键因素。目标材料的薄层电阻通常可通过经典的四点探针法轻松测量,但在某些情况下,该方法无法准确获取样品数据。若接触不良(如表面氧化或由位错等缺陷导致的导电层不均匀),或目标导电层被绝缘层覆盖时,电流源将无法施加测量所需的电流。四点探针测量还考虑了电阻率的表征,即材料厚度为半无限大。若探针尖端距离乘以5倍小于材料厚度,则电阻该公式可在不考虑修正系数或材料厚度的情况下推导得出。当处理导电材料薄片时,必须考虑与样品形状因子相关的修正系数,这可能导致精度问题。
因此,利用涡流传感方法对样品进行快速、非接触且无损表征已被证明是一种有价值的工具。其中区别在于: 穿透材料的涡流具有频率依赖性,且四点探针沿特定线测量,而涡流装置能够对特定区域进行平均测量。近期,一种新方法被提出,通过允许设备在宽频段(GHz) 内表征样品,从而增强现有涡流装置的功能,使其能够表征多种材料并实现比现有商用设备更宽的片电阻范围。该方法成功应用于硅片测量,并通过与四点探针测量结果相关联得到验证。其效率也在中沉积于砷化镓上的ITO纳米层测试中得到证实。
本文用方阻测量法对外延生长并掺杂的氮化镓样品的电导率进行了测量,该样品在zui初使用四点探针法测量原材料时无法测量。
2. 实验设置
2.1. 非接触式多频涡流系统(MFEC)
本节介绍并用于表征我们氮化镓样品的多频涡流实验装置。该装置将宽带信号注入由探针线圈终止的传输线中。线圈通过交变信号激励,在导电或半导体层内感应出涡流,从而产生感应磁场并改变层内及层外的总磁场(图1)。因此,线圈阻抗会根据层的特性(如导电性和厚度)发生变化。磁场不受绝缘层存在影响,可视为空气 (μr= 1)。因此,涡流法可成功用于在绝缘层下方的导电层中诱导涡流,且不受后者影响。该原始装置通过测量传输线与线圈之间的阻抗失配所产生的反射信号,从而根据公式(1)计算出置于空气中或被附近样本扰动的线圈阻抗。

其中Z wafer/air和ρwafer/air分别表示线圈在单独空气或受样品扰动时的阻抗和反射系数。Zc是传输线的特性阻抗。

图1.实验性多频涡流(MFEC)装置。
本实验使用的传感线圈设计为单匝印刷平面线圈,位于FR4PCB板上,外半径r1=2.8 mm,内半径r2=2.3mm,铜厚度为35μm。
归一化阻抗变化
由于半导体晶圆相对于空气参考测量的位置关系,其电导率可表示为角频率 W 、晶圆导电率、晶圆厚度及剥离距离的函数。剥离距离定义为激励探针与被测样品之间的间距。在电导率估算过程中,必须将绝缘层厚度(若存在)视为空气进行考量。测量材料电导率时的主要挑战在于佳的检测频率、剥离距离与探针几何结构之间的平衡。实际上,模型表明在特定频率下,器件仅对特定范围内的样品厚度和电导率敏感。 因此,通过传输线注入覆盖[1 MHz-1 GHz]范围的测试信号,可在扩展的片状电阻范围和样品厚度范围内实现对样品电导率的有效估算。
2.2. 有限元模型与仿真
在本节中,我们致力于确定所用平面线圈的有效探测区域, 因为该参数此前未被评估,且在处理小样品时是需要重点考量的因素。该参数具有重要研究价值。点扩散函数(PSF)可直接反映线圈产生的磁场空间分布,是设计和解读样品电导率测量时必须考虑的关键参数。如图2所示,样品所见磁场强度与离线距离密切相关。因此,测量值本质上反映了涡流感应区域的电导率分布。该探测区域对应于线圈离线距离处截面所截取的PSF截面。从场的空间扩展特性来看,可以合理推断PSF的宽度应大于线圈半径,且其幅值会随离线距离增加而递减。因此,必须将其宽度与我们的线圈进行比较评估, 以确保有效探测截面不超过样品本身。否则,用于拟合的解析电磁模型将无法适用。
电导率可能不适用,因其基于无限导电材料层的假设。若磁场与样品边缘重叠,估算精度将受到影响。

图2. 圆形线圈涡流探头磁场空间分布示意图。传感器的有效探测区域与其在被测样品中感应涡流的点扩散函数直接相关。
文献中已针对特定构型描述了涉及电位矢量推导的磁场映射解析解,但在一般情况下,通常需要且更易依赖商用软件(如计算机仿真技术(CST)Studio2020套件)进行三维 FDTD 分析。
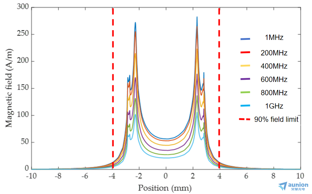
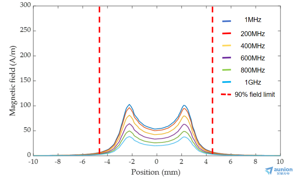
本节对图1所示的线圈探头结构进行了建模与仿真,测试范围为1MHz至1 GHz频段,分别在无样品和样品存在两种剥离高度(70 μm 和400 μm )条件下进行。图3展示了仅在线圈空气介质中计算的磁场强度二维分布图。值得注意的是,图4中展示的多个频率对应的截面图显示, 由于空气芯层和铜线宽与线圈半径的微小比例关系,点扩散函数呈现出独特的“M形”结构。随着频率升高,磁场在线圈表面的分布逐渐集中,场强趋于均匀。具体而言,当剥离高度为400 μm 时,线圈中心的磁场强度比铜线上方低约50%;而当剥离高度为70 μm 时,磁场强度下降近90% ,因此主要集中在铜线上方区域。
为了量化磁场的空间覆盖范围(探测区域),我们通过实验确定了包含90%磁场的半径作为评估标准。如图4虚线所示,该90%的磁场覆盖范围在特定剥离距离下保持恒定,当剥离距离分别为70 μm 和400 μm 时,对应的磁场覆盖范围分别为3.9毫米和4.5毫米。这些半径分别比线圈外部半径大39%和60% 。虽然探测区域与频率无关,但磁场强度会随着频率和剥离距离的增加而显著减弱。
这些结果强调了正确表征涡流传感器点扩散函数(PSF)对于评估测量的样品面积和解释估算的薄层电阻的重要性。

图3.空气中磁场强度的二维分布图,左侧为1 MHz 400 μm,右侧为1 MHz 70 μm。


图4.空气中沿x方向磁场强度的分布图,针对起飞阶段70 μm(左侧 )和400 μm(右侧 )覆盖 1 MHz-1 GHz 频段
3. 氮化镓样品测量的实验结果
氮化镓样品通常由于晶格常数和热膨胀系数的显著差异, 以及由晶格失配和残留杂质(碳、氧或氮)形成的缺陷而含有表面位错 。因此, 由于缺乏金属接触垫,氮化镓层难以用经典的四点探针进行测量。
我们愿意表征并展示在图5中的样品由三层不同掺杂浓度的堆叠层组成。顶部和内层分别由10μm 和0.1μm 通过外延法在300μm 的自由支撑层上生长,其掺杂浓度分别为2. 25400px-3 、2. 25450px-3和未知。样品侧面为12mm×12mm的正方形。

图5.通过外延沉积的氮化镓样品层的结构和掺杂。
尽管多次尝试,仍无法在室温下使用302 Lucas Labs四点探针装置对原材料进行双面测量。第二次尝试时,在完成离子清洗和金垫沉积后,zui终测得样品的片电阻为0.5Ω·cm2,迁移率为170 cm²V-1s-1 。一种可能的解释是界面处存在Ga-O或Ga-OH、CO或CH等本征结构缺陷,或是表面被Ga2O3氧化导致 SRH 复合效率下降,以及碳或氢杂质的吸附。
因此,第2节提出的涡流法是薄膜测量的理想解决方案,因为磁场在样品整个体积中感应的涡流完全是二维的,且不依赖于表面电导率。此外,即使样品厚度超过感应电流的穿透深度,仍可测定电阻率。该样品在1MHz至1GHz频率范围内以1MHz为步长进行表征,其电导率是基于的电磁模型估算得出的。
该样品采用400μm 剥离法进行测量,其面电阻估计为每平方1.28 Ω。该数值与霍尔测量结果处于同一量级,但两次测量均在室温下进行,且时间与地点不同。研究表明,氮化镓(GAN)的载流子迁移率及其面电阻对温度表现出强烈依赖性,这解释了两次测量结果的差异。 已知载流子浓度后,可推导出电子迁移率,因为电导率与迁移率和载流子浓度的乘积成正比。需注意的是,第2节研究的条件已满足,从而避免了边缘效应对测量结果的影响。令人满意的是,该 MFEC 能够高效便捷地测量样品,无需担心接触质量或接触垫的沉积问题。即使导电层被埋在两层绝缘层中,我们仍能清晰测量。
4. 结论
开发高效的电阻率成像能力是半导体生产链中表征过程的必备条件。本文展示了宽带涡流测量方法应用于氮化镓表征的优势,这种材料在不实现金属接触垫沉积的情况下,难以用传统的四点探针霍尔法进行测量。在回顾测量原理后,本文展示了该方法如何能够令人满意地测量通过外延生长和掺杂的小型三层氮化镓样品的方阻。为了准确估计用于确保无边缘效应干扰测量的传感线圈的探测截面,进行了三维有限元模拟。本文还表征了涡流传感器点扩散函数的空间扩展与线圈半径的关系。zui后,本文展示了该装置如何精确估计其面电阻。
参考论文连接:https://www.mdpi.com/1424-8220/24/5/1629
上海昊量光电设备有限公司是目前国内光电产品专业代理商,方阻测量仪是我们重点推出的一款应用于产线的电导率测试仪。下面是产品的相关信息。
EddyCus TF非接触式方块电阻在线监测系统可在生产过程中直接对方块电阻进行高速、非接触式测量。典型的工艺包括PVD, CVD,在晶圆,箔,纸,聚合物或其他基板上的电沉积或常规沉积工艺。特别是这些工艺包括溅射、蒸发、外延或电镀工艺。此外,这也涉及喷涂,槽模涂层或电子印刷过程。此外,片状电阻增强过程,如薄膜的退火和掺杂或印刷电子产品的烧结,受益于电气完整性的在线监测。氧化、蚀刻、抛光以及清洗和干燥过程的影响也是这种测试技术广泛应用范围的一部分。薄片电阻值通常转移到MES系统,以保证质量,特别是过程控制。




应用现场

了解更多详情,请访问上海昊量光电的官方网页:
https://www.auniontech.com/three-level-352.html
参考文献
参考论文连接:https://www.mdpi.com/1424-8220/24/5/1629
欢迎直接联系昊量光电
关于昊量光电:
上海昊量光电设备有限公司凭借强大的本地化销售网络与专业技术支持团队,长期服务于国内数以万计工业及科研客户,涵盖半导体、生物医疗、量子科技、精密制造、生物显微、物联传感、材料加工、光通讯等前沿领域。
昊量光电拥有的专家级的软硬件开发团队及丰富的行业应用经验,可提供:
✅ 全天候售后技术支持——快速响应,确保设备稳定运行;
✅ 定制化解决方案——从售前咨询到安装,培训,系统集成等,满足多样化需求;
✅ 客户高度认可——服务案例覆盖众多头部企业及高端科研机构,客户满意度持续居前列。
您可以通过我们昊量光电的官方网站www.auniontech.com了解更多的产品信息,或直接来电咨询4006-888-532。