本文将QOM技术作为创新的场分析工具进行介绍,从场分析工程师的视角详细阐述其操作流程,并探讨其在整体场分析工作流程中的定位。展示了3.05微米的横向磁分辨率,该数值已具有竞争力。
展示全部 
量子金刚石显微镜在半导体失效分析中的应用
1. 介绍
随着异构集成(HI)和封装技术日益普及,以实现性能提升的新一代目标,传统的电气故障分析(EFA)技术在应对行业新兴趋势(如晶圆间、芯片间键合、硅通孔以及背面电源供应的复杂性)时面临日益严峻的挑战。由于互连对器件的性能提升至关重要,确保其电气完整性对于提升产量和保持高良率至关重要。然而,许多传统EFA技术难以应对弱信号、多金属化层和堆叠芯片等问题。此外,氮化镓和碳化硅等宽带隙材料的广泛应用导致当前EFA面临更多复杂性。迫切需要开发新方法,能够定位深埋于表面之下且被复杂金属化层包围的故障,同时具备三维信息、高分辨率和短测量时间。
解决这些问题的新兴EFA技术之一是利用金刚石中的氮空位(NV)中心进行量子传感。该技术能够实现具有高空间分辨率和灵敏度的磁场测量,使用户能够成像电路内的电活动并识别各种故障模式,包括短路和开路。这一过程被称为磁电流成像(MCl)。由于磁场可以不受阻碍地穿过Si、氮化镓和Sic,这种成像方式是识别深层中埋藏和微弱故障以及新型功率器件的有希望的候选方法。此外,与SQUIDs等其他磁电流成像技术相比,该技术实现了更高的分辨率,不需要扫描,并且在室温条件下运行,从实用EFA的角度来看非常有吸引力。一种使用金刚石进行量子传感的系统俗称量子金刚石微系统(QDM)。
本文将QOM技术作为创新的场分析工具进行介绍,从场分析工程师的视角详细阐述其操作流程,并探讨其在整体场分析工作流程中的定位。随后重点讨论横向分辨率指标,并对两种不同集成电路进行分析:一种是简单的铜线测试样品,另一种是在售的四极NAND门电路(德州仪器CD4011-B)。选择这两种样品是为了让场分析工程师熟悉磁场和电流密度数据,其布局结构清晰易懂,非常适合演示该技术。本文展示了3.05微米的横向磁分辨率,该数值已具有竞争力。zui后,在文章结尾通过对比QDM与现有场分析方法在分辨率和测量时间等关键指标上的表现,对QDM技术进行了总结。
2. QDM用于故障分析
电流流经集成电路(IC)中的导电路径时,会形成局部磁场,这正是安培定律所描述的现象。通过绘制这些磁场图,我们能深入理解电流密度分布,从而识别并定位电路异常。然而,传统的磁耦合线圈(MCL)方法(如35$QUlDs和GMR传感器)存在明显局限:一方面系统要求过于严苛,另一方面由于扫描模式系统的特性,分辨率、灵敏度与采集时间之间存在难以调和的权衡关系。
基于QDM的量子传感技术通过实现高空间分辨率的磁耦合器件(Mct)、常温运行及快速数据采集,有效解决了传统检测方法(FA)的局限性。量子磁检测(QDM)的核心优势在于能完整捕捉矢量磁场,从而实现垂直电流的精准检测,而其他磁耦合器件系统仅能测量单一投影磁场分量。量子磁观测(QOM)技术可对被测器件(DUT)的多层结构(包括垂直互连层)进行磁场映射,生成详细的电活动图像。通过分析这些图像,故障分析工程师能准确定位短路、开路等故障,为故障根源分析提供关键数据支撑。
QDM通过将显微光学技术与金刚石量子传感器相结合,实现了磁场到光学信号的转换。该传感器将磁场信号转化为光学信号,zui终由相机捕捉为空间分辨图像。通用测试装置如图1所示。关于量子点探测器的工作原理及基础物理机制。
3. QDM的性能参数
在Hl时代,故障定位对FA工程师而言,深度探测范围、灵敏度和分辨率是三个关键要素。深度探测范围可理解为信号能被有效检测的Max距离。灵敏度定义了特定时间窗口内可检测到的Min磁场强度,与可检测到的Min电流密切相关。由于QOM能生成x、y、z三个坐标轴,因此需要重点评估横向分辨率和深度分辨率这两个参数。
与传统光学fA技术类似,其分辨率高度依赖于被检测电流或特征的深度。实验室条件下实现的典型横向分辨率仅达到orderof-0.5-5umfor表面电流水平。相较于光发射显微镜(PEM)、光致电阻变化(OBiRCH)和热致电压变化(TiVA,亦称红外光致电阻变化)等光学技术,后者无法探测浅层缺陷以外的深层信息,而具备深度分辨率是关键优势。锁相热成像(LIT)是例外情况,确实能提供深度信息。然而其深度精度取决于对材料热学特性的精确掌握,这通常并非易事。而量子点显微镜(QDM)的深度分辨率同样会显著受样品特性影响,其典型测量误差范围通常为深度为10%。举例来说,传感器所在位置下方50µm处的带电流导线的深度不确定度约为5µm。

(a) QDM系统的探针阵列,一张带有零插入力插座的面包卡样品被置于物镜下方,旁边还有其他探针针。(b)QDM装置示意图,532nm绿光激光器先照射二向色镜,再进入物镜后进行准直。激光束照射位于激光样品上方的金刚石量子传感器,使金刚石内的NV中心产生荧光。这些NV中心的荧光强度取决于微波频率(由附近天线扫描)和局部磁场。活性芯片的电流会改变这些相对于偏置场的局部磁场,导致整个视场(FoV)内的荧光强度出现波动。产生的红光荧光穿过物镜,继续通过二向色镜,zui终被相机捕捉。每个像素记录的荧光强度编码了样品局部磁场的详细信息,从而实现集成电路活动的提取与映射。
4. 从FA工程师视角看QDM的操作
QDM的运行包括两个步骤:
第1步:需在偏置条件下完成待测器件(DUT)的准备工作。其次,需完成传感器的定位操作。待测器件与量子传感器的交互主要通过两种方式实现:一是将量子传感器作为独立金刚石芯片直接放置在样品表面,二是将其集成到显微镜物镜中并靠近样品。如图1b所示的独立式配置中,传感器可直接放置在待测器件的观测区域上方。金刚石与样品一侧接触,因此与观测区域保持Min间距(受限于样品表面的平整度)。需要注意的是,尽管传感器位于样品表面,但其信息采集仍需穿透待测器件的多层结构。以采用独立式传感器配置的QDM为例,其灵敏度约为5µT(Hz)-0.5,可在约20秒内对埋藏深度达300µm、电流强度约1 mA的信号进行成像,且信噪比保持在3左右。对于集成到光学装置中的金刚石传感器,[13]自动化是必不可少的,以便将传感器与感兴趣区域对齐,而倾斜校正应确保平坦度。集成传感器的深度范围和分辨率会随着物镜头与样品之间的距离增加而减少。
通常,金刚石传感器通常是边长为1-4毫米的立方体芯片,这使得其视野范围可达4毫米×4毫米。当样品表面粗糙且难以触及时(如氮化镓等宽禁带器件的典型情况),独立式外壳更具吸引力,因为物镜可以离样品台更远;而当样品表面平坦且需要自动化处理时(例如在晶圆上拼接数据时),集成式外壳则更为理想。
第2步:传感器定位完成后,测量过程实现自动化,无需操作员介入。系统生成磁场分布图并提取源电流密度图像。操作员可结合红外(IR)背面图像与电路布局知识(若已知),精准定位单层或多层中的电流路径。
5. 在fa工作流中的QDM
作为一种微型电路集成(MCI)检测方法,QDM不仅能识别传统MCI技术可检测的所有故障类型,还能突破现有技术的某些局限。[7]通常可检测的故障包括短路、漏电和高阻故障。但更令人瞩目的是,QDM通过在被测器件(DUT)上施加交流电流,还能识别真正的非电阻性开路故障——这一技术难点至今仍是众多成像检测方法难以攻克的难题。[1]表1对可检测的故障模式进行了系统性总结。
QDM是一种多功能工具,可在FA工作流程的两个不同阶段应用。首先,它可作为样品制备前的无损检测工具使用,既可在封装前进行,也可在脱封装后(无需稀释和抛光)实施。该步骤通常采用LIT技术,这是FA流程中的通用操作。
能够使用此类设备的实验室。在此,QDM可视为热点信息的补充,但其深度检测和分辨率能力也有望超越LIT。这些前景正在积极研究中。
表1 QDM封装及晶粒的可定位失效清单。


图2展示了通用FA工作流程的流程图。其中步骤2和4是QDM作为多功能工具的价值主张点,可在样品制备前后均使用了两种方法,各具优势:前者可进行无损概览,后者则具备极高的横向分辨率。
其次,QDM技术也可在样品制备完成后使用,此时模具已被拆除,晶圆表面暴露并进行减薄处理。在此阶段通常会采用前文提及的EMMI、OBIRCH等方法,以及X射线检测技术。QDM技术的优势在于能在短时间内提供具有原子级分辨率(µm)的图像,并能直观呈现电活动信息。该技术的另一大优势是无需对样品进行抛光处理,即便是高掺杂样品也能直接成像,从而大幅缩短样品制备时间。凭借其深度探测能力,QDM技术还能比多数光学方法更早识别缺陷层,为光刻工程师节省了逐层减薄的数小时时间。图2展示了QDM技术在光刻工艺流程中的应用场景。
本文重点展示QDM在两种不同样本上的横向分辨率能力,并让读者熟悉磁力和电流密度测量数据。QDM的深度范围、深度分辨率和灵敏度能力将在后续工作中分析。
6. 空间分辨率量子金刚石显微镜
多个因素会影响磁场图像的空间分辨率,从而决定集成电路中磁现象的测绘精度。本文所述系统的光学空间分辨率设定了下限,其数值取决于光学系统的数值孔径(NA)。要实现zui高分辨率,可采用金刚石浸没透镜,其光学分辨率可达200纳米。然而,主要限制因素是间距——即NV中心与待测电子电路之间的距离。该距离会影响分辨率,因为磁场强度会随着间距增大而衰减。值得注意的是,虽然间距会影响空间分辨率,但它也为研究电流深度提供了重要参考依据。
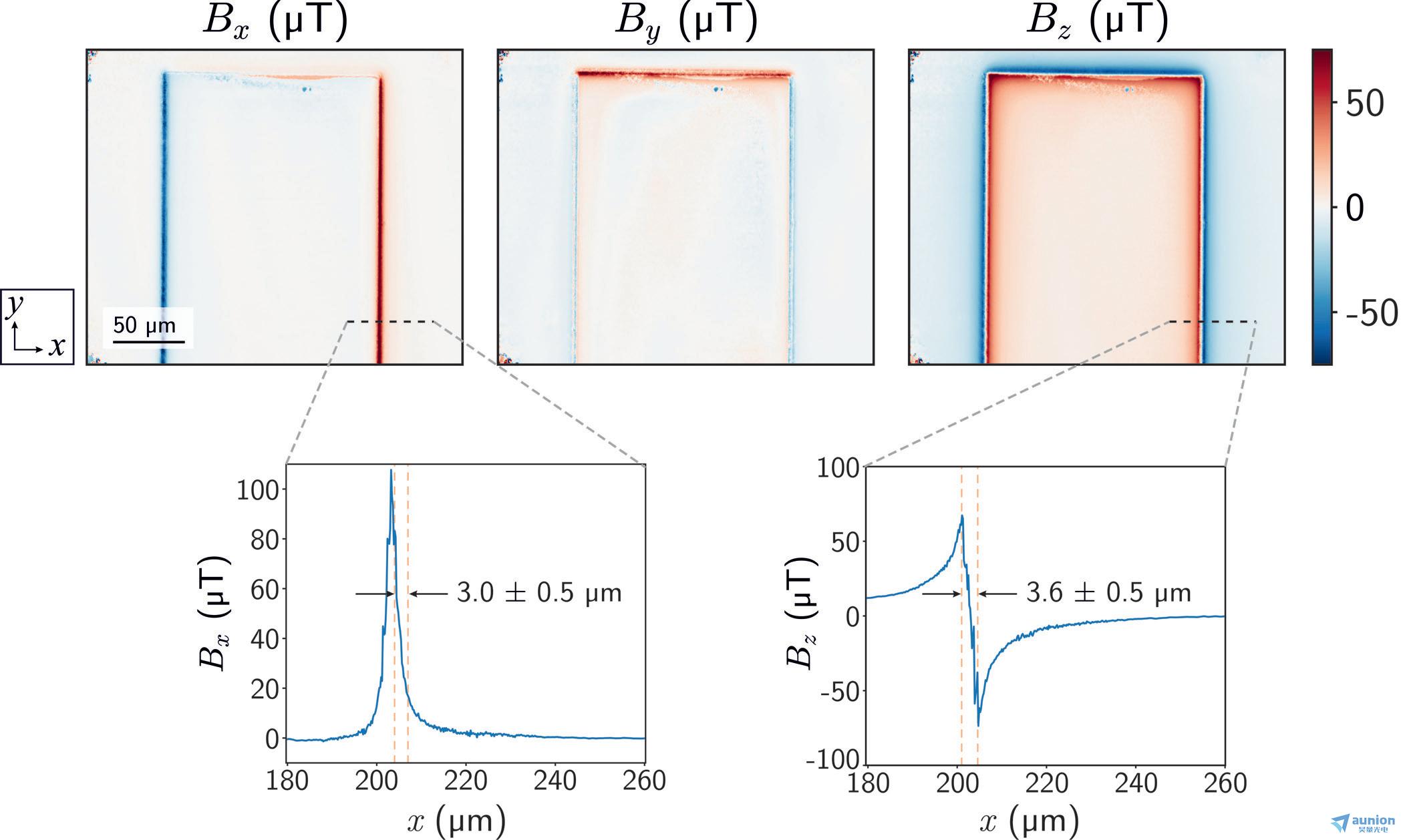
为验证该系统的空间分辨率,研究团队采集了矢量磁场数据。本研究采用滨松大学PHEMOS团队提供的载流导线样品图像。图3a展示了使用QDM技术获得的测量结果。实验装置配置了50倍无限远校正物镜,数值孔径(NA)为0.55,系统经过优化以平衡磁场深度与分辨率。实验中采用500纳米厚导线作为样品,施加1毫安电流时产生的磁场强度约为50µT,这些磁场分布图在电流流经导线路径的预设区域内清晰呈现。
如参考文献14所述,磁共振成像(MCI)的空间分辨率可通过多种方式定义。此处空间分辨率特指根据斯帕罗准则区分两条平行电流路径贡献的能力。[15]通过沿单根电流方向导线产生的信号x轴进行线性截取,可将信号的15-85%上升段作为空间分辨率的估算值。Bz信号具有不同特性,通常采用峰峰值距离作为定义标准,因其易于识别。通过观察Bz分布图可获得3.0(5)µm的空间分辨率。
通过分析载流导线产生的磁场分布曲线可以发现,Bx和Bz分量具有明显不同的空间分布特征。Bx分量的分布范围较窄,峰值更尖锐,而Bz分量则具有较宽的横向延伸范围,因此在距离导线较远的位置衰减更平缓。这些广泛的延伸导致了Bz场的长程行为。
由于Bz场的分布范围更广,使用Bz场定位信号源时空间分辨率较低。相比之下,Bx场的过渡更为陡峭,导线周围的变化斜率更大,因此对位置微小变化更为敏感。这种特性使得空间分辨率更高,能更精准地确定导线位置及其磁场变化的覆盖范围。

图3展示了用于确定的1 mA载流导线的磁场图像
(a)Bx、By和Bz磁场分量的幅值分布,其中正值的Bx表示电流方向向上,正值的By表示电流方向从右向左。(b)沿x轴方向的Bx磁场线性剖面图,如(a)中黑色虚线所示。分辨率采用斯帕罗准则确定,图中用橙色虚线分别标出15%和85%的总磁强度值。(c)沿x轴方向的Bz磁场线性剖面图,同样用(a)中的黑色虚线标注。分辨率通过峰峰值距离确定,图中橙色虚线标出了该距离的具体数值。
因此,在需要识别电流传导特征或在小范围内绘制磁场分布时,Bx分布图相比Bz分布图具有显著优势——后者由于横向扩展范围较大,容易模糊细微的空间细节。这使得QDM在相关应用中尤为突出,特别是在需要较大检测距离的场景下,空间扩展问题可能变得尤为关键。
zui后需要强调的是,传感器的厚度具有重要影响。因此,可根据具体应用场景(如芯片级或封装级分析)设计不同特性的金刚石传感器。通过更精细的系统设计和校准,可突破现有技术限制,实现半导体器件中磁场的更精细、更精准的测绘。
7. NAND门中的电流路径映射
NAND门是cmos技术中数字逻辑的基本构建模块。本节将研究德州仪器CD4011B芯片中的电流路径,该芯片为四路NAND门集成电路,其布局图可公开获取(见图4)。
表2展示了NAND门的真值表。逻辑‘0’对应相对于地的低电压,而逻辑‘1’表示高电压。将5 V的稳定高电平施加到门输入端,输出端通过10 kΩ电阻接地。
表2是NAND门的真值表,其中A和B是输入,第三列是输出。

每个NAND门包含两个输入引脚和一个输出引脚。第1组NAND门的接触引脚1和2作为输入端,接触引脚3作为输出端。其余三个NAND门的配置与此相同。引脚7接地,引脚14作为电源(VDD)。使用QDM测量了不同输入配置下工作电流产生的磁场特征。图5展示了当供电电流为8mA且所有输入端均设为‘0’(即低电平状态)时测得的磁场分布。虽然磁场图已包含定位故障或追踪电流所需的所有信息,但对于现场工程师而言,尤其是面对复杂芯片配置时,解读这些数据仍存在挑战。
为此,当前的重建程序能够重建电流密度。[16-18]采用机器学习方法,能够使用磁场图作为输入数据来检索电流密度路径。图6显示了两种不同栅极配置的电流密度。
通过展示不同栅极配置下的电流成像能力,验证了集成电路中电流路径的追踪技术。该功能使故障分析工程师能够精准定位异常区域,例如漏电流、短路或开路等传统检测方法难以发现的故障。因此,通过可视化电流流动,工程师能更清晰地掌握故障的性质与位置,从而实现更精准的故障定位。更准确的诊断和高效的问题解决。这将减少调试时间,提高可靠性,并更有效地分析根本原因,特别是在复杂的电路中。

图4(a)德州仪器CD4011B集成电路布局,(b)四NAND门电路的红外图像。(c)样品与探针和金刚石传感器之间的间距的横截面。

图5显示了采集的CD4011B活性磁场图
使用QDM芯片时,需施加8mA电流为其供电。(a)B_x分量由沿y轴方向流动的电流产生,正值表示向上流动,负值则代表向下流动。(b)B_y分量对应x轴方向的电流,正值表示从右向左流动,负值则代表从左向右流动。(c)B_z分量表示面外磁场,包含沿x轴和y轴方向流动电流的共同作用。

图6展示了不同输入组合下的电流密度叠加分布
通过集成电路的红外图像对可控NAND门进行分析。(a)磁场测量重建的电流图,所有输入门均处于低电平。(b)磁场测量重建的电流图,右下角NAND门的8号和9号引脚同时处于高电平,导致高亮(虚线)区域无电流。
QDM技术在EFA领域的下一步应用,是评估其在多层芯片中(尤其是异构集成芯片)绘制电流路径的能力。通过进一步提升深度灵敏度和空间分辨率,这项技术有望成为分析复杂半导体器件的必备工具,为横向与纵向电流流动提供关键洞见。
8. 结论与展望
本文通过QDM技术介绍了金刚石量子传感作为创新的非破坏性EFA检测工具。从集成电路工程师的视角详细阐述了其在标准工作流程中的整合方式。对两个集成电路的测量结果显示,该技术可实现3.0(5)µm的横向空间分辨率,充分展示了QDM技术的数据特性。通过与传统集成电路检测方法的对比,突显了该技术的独特优势。
尽管锁相振荡器(QDM)仍处于早期研发阶段,但自2000年代采用锁相热成像技术以来,初步研究结果已展现出广阔的应用前景。QDM的改进方向有多种可能:例如,采用交流成像技术可充分利用氮空位(NV)传感器在纳特斯拉至皮特斯拉(Hz)-0.5量级的成熟灵敏度,[19]这将使测量速度提升数个数量级,并能以集成电路(IC)的固有时钟频率进行评估。
总之,QDM作为FA工具展现出巨大潜力,特别是在该领域向异质集成和宽带隙材料发展之际。未来研究将聚焦于使用QDM进行封装层分析,旨在验证其深度感知能力。
关于昊量光电:
上海昊量光电设备有限公司是光电产品专业代理商,产品包括各类激光器、光电调制器、光学测量设备、光学元件等,涉及应用涵盖了材料加工、光通讯、生物医疗、科学研究、国防、量子光学、生物显微、物联传感、激光制造等;可为客户提供完整的设备安装,培训,硬件开发,软件开发,系统集成等服务。
您可以通过我们昊量光电的官方网站www.auniontech.com了解更多的产品信息,或直接来电咨询4006-888-532。
参考文献
1. IEEE国际设备与系统路线图,计量学,电气与 电子工程师协会,2023。
2. N.Antoniou和B.Foran:“EDFAS FA技术路线图—FA未来路线 图”,EDFA,2023年5月,25(2),第44-46页,doi.org/10.31399/ asm.edfa.2023-2.p044。
3. M.Mullen:《宽带隙——半导体失效分析——半导体的照 明》,2024,thermofisher.com/ blog/ semiconductors/ failure,analysis-of-wide-bandgap-semiconductordevices.
4. P.Kehayias等人:“使用量子钻石显微镜在多层集成电路中实现高 分辨率短路故障定位”,Phys RevAppl,2023,20,p.014036。
5. M.Garsi等人:《金刚石量子缺陷在集成电路活动三维成像中的 应用》,载于《物理评论应用》2024年第202期第21卷,第 014055页。
6. L.A.Knauss:“用鱿鱼进行磁场成像以隔离故障”,EDFA,2000 年5月,2(2),第1-10页,doi.org/ 10.31399/ asm.edfa.2000-2.p001。
7. A.Orozco:“失效分析中的磁流成像”,EDFA,2009年11月,11(4),第14-21页,doi.org/ 10.31399/ asm.edfa.2009-4.p014。
8. R.H.Good和T.J.Nelson:《经典电场与磁场理论》,学术出版 社,1974年。
9. E.V.Levine:“量子钻石显微镜的原理和技术”,纳米光子 学,2019,8,p.1945-1973。
10. K.Nikawa:《光束诱导电阻变化(OBIRCH):概述与zui新成 果》,载于《doi.org/10.1109/ LEOS.2003.1253014》 2003年刊。
11. K.Nikawa等人:“使用IR-OBIRCH(红外光束感应电阻变化)方法的故障分析案例研究”,亚洲测试研讨会论文集,1999年,第394-399页。
12. O.Breitenstein等人:《红外锁相热成像技术在热失效分析中的应用》,2011年。
13. G.J.Abrahams等人:“一种集成的宽场探针用于实用的金刚石氮空位显微镜”,应用物理快报,2021,119,p.254002。
14. B.D.Schrag等人:《磁隧道结传感器在磁电流成像中的应用:案例研究与分析》,2005年。
15. K.Chang等人:“单自旋磁强计的电流密度纳米级成像”,Nano Lett,2017,17,p.2367-2373。
16. B.J.Roth、N.G.Sepulveda和J.P.Wikswo:“用磁力计成像二维电流分布”,JAppl Phys,1989,65,p.361-372。
17. D.A.Broadway等人:“通过矢量磁场测量改进电流密度和磁化重建”,Phys Rev Appl,2020,14,p.024076。
18. https://arxiv N.R.Reed等人:“机器学习在二维矢量磁共振成像中改进电流 密度重建的应用”,2024。org/abs/2407.14553v1。
19. J.F.Barry等人:《金刚石中氮空位中心集合体的灵敏交流与直流磁测量》,Phys Rev Appl,2024,22,p.044069。